Nachweisen Dass Ein Punkt Auf Einer Geraden Liegt

Hast du dich jemals gefragt, wie Architekten sicherstellen, dass eine Wand perfekt gerade ist, oder wie Spieleentwickler garantieren, dass ein Laserstrahl in einem Videospiel sein Ziel genau trifft? Die Antwort liegt oft in einer einfachen, aber mächtigen mathematischen Technik: dem Nachweis, dass ein Punkt auf einer Geraden liegt. Was vielleicht nach trockener Mathematik klingt, ist in Wirklichkeit ein nützliches Werkzeug, das Kreativität und Präzision in vielen Bereichen ermöglicht.
Für Künstler, Hobbybastler und neugierige Köpfe bietet diese Technik überraschende Vorteile. Stell dir vor, du designst ein geometrisches Muster für eine Patchworkdecke. Indem du nachweist, dass bestimmte Punkte auf einer Linie liegen, kannst du sicherstellen, dass deine Linien absolut gerade und die Muster perfekt symmetrisch sind. Oder vielleicht bist du ein Modellbauer, der ein detailgetreues Flugzeug konstruiert. Das Überprüfen, ob bestimmte Punkte entlang der Flügelkante auf einer Linie liegen, hilft dir, ein realistisches und aerodynamisch korrektes Modell zu bauen.
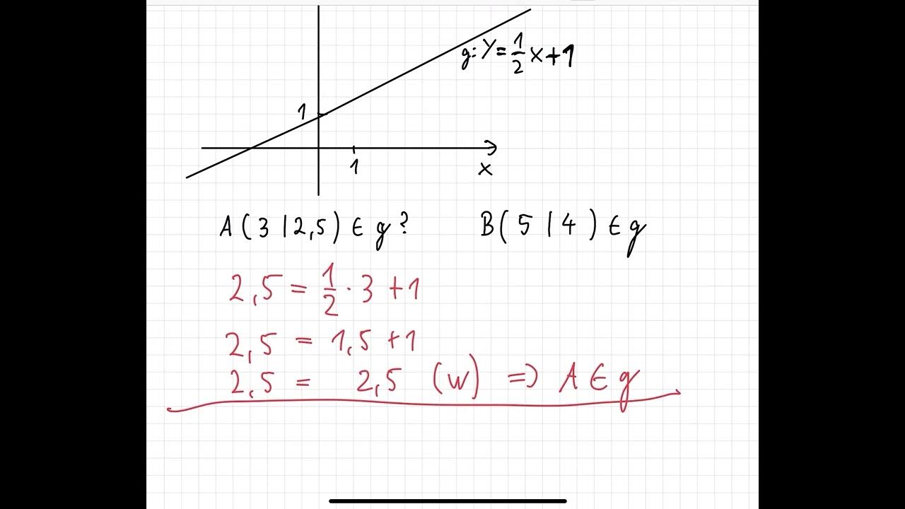
Wie funktioniert das Ganze konkret? Im Grunde genommen geht es darum, die Gleichung einer Geraden zu verwenden (oft in der Form y = mx + b, wobei m die Steigung und b der y-Achsenabschnitt ist). Wenn du die Koordinaten eines Punktes hast (x, y), kannst du diese in die Gleichung einsetzen. Wenn die Gleichung erfüllt ist, also die linke Seite gleich der rechten Seite ist, dann liegt der Punkt auf der Geraden. Einfach, oder?
Beispiele gefällig? Denk an Kalligraphie. Das perfekte Ausrichten von Buchstaben auf einer imaginären Grundlinie ist essenziell für ein ästhetisch ansprechendes Schriftbild. Oder im Bereich des digitalen Designs: Du möchtest ein perfekt gerades Polygon zeichnen. Indem du die Koordinaten der Eckpunkte berechnest und überprüfst, ob sie sich entlang der gedachten Linien befinden, kannst du Ungenauigkeiten vermeiden. Sogar beim Fotografieren kann dir dieses Prinzip helfen: Stell dir vor, du möchtest ein Panoramabild erstellen, bei dem der Horizont absolut gerade verläuft. Du kannst die Neigung des Horizonts mithilfe dieser Technik korrigieren.
Tipps für den Start zu Hause: Schnapp dir ein Blatt Papier, ein Lineal und einen Stift. Zeichne eine Gerade und markiere ein paar Punkte. Wähle zwei Punkte auf der Geraden, um die Gleichung der Geraden zu bestimmen. Nimm dann einen anderen Punkt (von dem du *vermutest*, dass er auf der Geraden liegt) und überprüfe, ob er die Gleichung erfüllt. Es gibt auch zahlreiche Online-Rechner, die dir dabei helfen können, die Gleichung einer Geraden zu finden oder zu überprüfen, ob ein Punkt auf einer Geraden liegt. Fang mit einfachen Beispielen an und steigere dann langsam den Schwierigkeitsgrad.
Das Schönste daran ist, dass das Nachweisen, dass ein Punkt auf einer Geraden liegt, nicht nur eine mathematische Übung ist. Es ist ein Werkzeug, das dir hilft, präziser zu arbeiten, deine kreativen Projekte zu verbessern und die Welt um dich herum besser zu verstehen. Es ist befriedigend zu wissen, dass man mit einfachen mathematischen Prinzipien komplexe Probleme lösen und ästhetische Perfektion erreichen kann. Also, probier es aus und entdecke die Freude an der Präzision!



