Quadratische Gleichungen Aufgaben Mit Lösungen Klasse 9 Pdf

Hey du! Lust auf ein kleines Abenteuer in der Welt der Mathematik? Keine Angst, wir reden hier nicht von staubtrockenen Formeln und endlosen Rechnungen. Wir tauchen ein in die Welt der quadratischen Gleichungen! Ja, richtig gehört. Klingt vielleicht erstmal kompliziert, ist aber eigentlich total spannend und nützlich. Besonders wenn du gerade in der 9. Klasse bist und dich auf die nächste Mathearbeit vorbereiten musst.
Warum sind quadratische Gleichungen denn so toll? Stell dir vor, du willst einen Ball so werfen, dass er genau in einen Korb trifft. Oder du möchtest einen Zaun bauen und genau berechnen, wie viel Material du brauchst. Hier kommen quadratische Gleichungen ins Spiel! Sie helfen uns, Probleme zu lösen, bei denen Beziehungen nicht linear sind, sondern sich in Kurven und Bögen bewegen. Mit anderen Worten: Sie beschreiben die Welt um uns herum viel besser als einfache lineare Gleichungen.
Also, was genau sind quadratische Gleichungen? Ganz einfach: Es sind Gleichungen, bei denen die Unbekannte (meistens 'x') quadriert vorkommt. Die allgemeine Form sieht so aus: ax² + bx + c = 0. Dabei sind a, b und c Zahlen, die wir Koeffizienten nennen. Das Ziel ist es, herauszufinden, welche Werte für x diese Gleichung erfüllen. Mit anderen Worten: Wir suchen die Lösungen der Gleichung.
Und wie finden wir diese Lösungen? Keine Sorge, es gibt verschiedene Wege! Eine sehr beliebte Methode ist die Mitternachtsformel (auch bekannt als abc-Formel oder quadratische Lösungsformel). Sie sieht zwar auf den ersten Blick etwas furchteinflößend aus, aber wenn du sie ein paar Mal angewendet hast, wirst du merken, dass sie gar nicht so schlimm ist. Es gibt auch noch die Methode der quadratischen Ergänzung und das Faktorisieren. Jede Methode hat ihre Vor- und Nachteile, und welche am besten geeignet ist, hängt von der jeweiligen Gleichung ab.
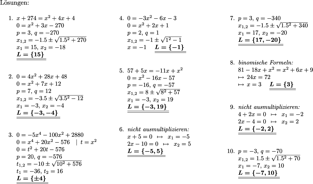
Wenn du jetzt denkst: "Okay, das klingt ja alles schön und gut, aber wie übe ich das am besten?", dann habe ich die perfekte Lösung für dich! Es gibt nämlich unzählige PDF-Dateien mit Übungsaufgaben und Lösungen speziell für die 9. Klasse. Wenn du nach "Quadratische Gleichungen Aufgaben mit Lösungen Klasse 9 PDF" suchst, wirst du schnell fündig. Diese PDFs sind super, um dein Wissen zu testen und zu festigen. Du kannst die Aufgaben selbst lösen und dann mit den Lösungen vergleichen, um zu sehen, ob du alles richtig gemacht hast.
Das Beste daran ist, dass du so Schritt für Schritt lernen kannst, wie man quadratische Gleichungen löst. Fang mit einfachen Aufgaben an und steigere dich langsam. Wenn du eine Aufgabe nicht lösen kannst, schau dir die Lösung an und versuche zu verstehen, wo dein Fehler lag. Und denk daran: Übung macht den Meister!
Also, worauf wartest du noch? Schnapp dir eine PDF-Datei, einen Stift und Papier und stürze dich ins Abenteuer der quadratischen Gleichungen. Du wirst sehen, es macht Spaß und ist unglaublich nützlich! Viel Erfolg!



